Engaging researchers through educational RDM games
By Michiel De Vydt
Which educational games are currently available for RDM support staff to teach FAIR (meta)data management to researchers? Which characteristics make an educational game effective? Can we make our own FRDN-labeled game? These are some of the questions we addressed during our Community Day in Leuven on Thursday 28 November 2024. Read on to get a summary of our day!

Gamification of RDM training
On Thursday 28 November 2024, 39 members of the Knowledge Hub gathered at the Irish College in Leuven to explore the role of educational games in the context of RDM training within research-performing organizations. We played and evaluated four different games, we brainstormed about a possible FRDN-labeled (i.e. supra-institutional) game, the working groups gave updates about their progress, and the RDM reading club seized the opportunity to hold November’s meeting face-to-face. More generally, throughout the day we unapologetically socialized with each other, including welcoming new members to our professional field.
We started the day with cards that we asked everyone to fill in anonymously (see the photo carousel below). This card served two purposes. Firstly, we collect information about job titles and expertise among our members, which we use to keep track of our RDM professional field. Secondly, the cards also provided a prod for people to intermingle/network with each other throughout the day, since we asked everyone to find their matching person after we handed them someone else's card, just before the first coffee break.
After a brief presentation about myself (your new community manager) and welcoming seven present newcomers, it was time to start playing/testing four educational games designed to teach and/or stimulate discussion about RDM principles:
- The latest version of the Research Survival Game (RSG) developed by our peers at KUL;
- A quartet card game developed by DANS, the Dutch national centre of expertise and repository for research data;
- A card game “Open Science Against Humanity” that is designed by our peers at the Vrije Universiteit Amsterdam who go under the name of the GHOST collective;
- A “Snakes and ladders” game that is being developed by UHasselt and is centred around choosing appropriate data storage solutions for different real-world research cases.
We want to thank both DANS and the GHOST collective for readily sending us high-quality printed decks of their card games. At the end of the day, we passed the decks to four happy members who will use the games at their universities.
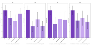
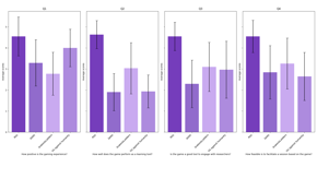
After playing — or at least, after getting a taste of each game, since for the last three games we had to limit ourselves to 20 minutes each — we asked people to rate each game based on four questions:
- How positive is the gaming experience? (1 = Not positive at all - 5 = very positive)
- How well does the game perform as a learning tool? (1 = Not well at all - 5 = very well)
- Is the game a good tool to engage with researchers (1 = Not good at all - 5 = very good)
- How feasible is it to facilitate a session based on the game? (1 = Not likely at all - 5 = very likely)
The bar graphs (N=31) show the descriptive results (see image in photo carousel below for higher resolution).

After a networking lunch, where attendees continued the card-matching activity, the focus shifted from the players' perspective to the creators' perspective: Laura gave a presentation to offer us a glimpse into the creative process behind the RSG, as well as the conclusions their own team has made regarding the advantages and disadvantages of the game as an educational tool.
We then proceeded with an active brainstorm session. In two separate breakout rooms, people collected verbal feedback on the RSG and Snakes and Ladders game, and worked on ideas for new educational RDM games, all of which was later presented once we re-convened in the main room. I was positively surprised by the eagerness that groups showed! We now also have a team of seven members who will work more structurally on developing an FRDN-labeled RDM educational game.

During the last networking break of the day (aided by coffee and dense chocolate cake) the RDM reading club gathered in a breakout room to discuss two articles on data anonymization and pseudonymisation. Between 15:30 and 16:15 we received updates from the DMP Project Group and the WG Matchmaking (expert list and tools). During the check-out we learned about our favourite historical/famous dinner guests.
About our Community Days
The FRDN Knowledge Hub Community Days, also known as the KH Live Events, are relatively informal conferences we organize three to four times each academic year. The Community Days are always centred around a thematic focus. The next Community Day will be organized at the Vrije Universiteit Brussel on 18 February 2025, on the topic of legal requirements and data storage security. To stay informed about more details, follow our LinkedIn page or Basecamp.












